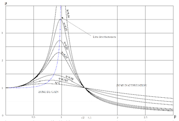
Dans ce topo, on s’intéresse aux B A BA du découplage mécanique ou de l’isolement vibratoire en quelques équations, qui se veulent dans la mesure du possible, «simples». L’exposé finit par une "analyse mécanique" d’un plot antivibratile ACOUSTIPAD.
Dans ce topo, on s’intéresse aux B A BA du découplage mécanique ou de l’isolement vibratoire en quelques équations, qui se veulent dans la mesure du possible, «simples». L’exposé finit par une "analyse mécanique" d’un plot antivibratile ACOUSTIPAD.